Quartz 4

Home

❯

Complex Inner product

Complex Inner product

Mar 07, 20261 min read

  • uni/QC

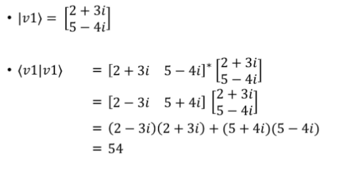
Exampls

Norm in Quantum Space


Graph View

Backlinks

  • Hilbert Space
  • Quanten Computing MOC

Created with Quartz v4.5.1 © 2026

  • GitHub
  • Discord Community