Search
❯
Mar 07, 20261 min read
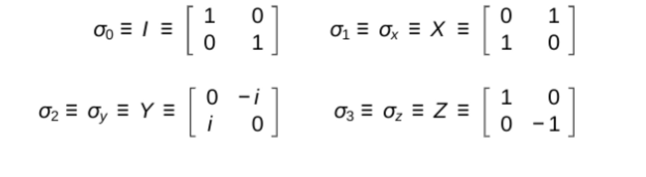
Pauli matrices We often omit I, and refer to X, Y and Z only as Pauli matricesLink to original
We often omit I, and refer to X, Y and Z only as Pauli matrices