Quartz 4

Home

❯

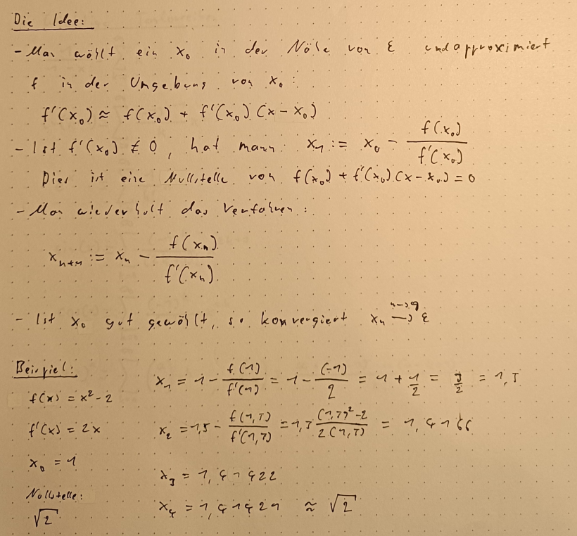
Satz von Newton

Satz von Newton

Mar 07, 20260 min read

  • uni/Mat2


Graph View

Backlinks

  • Mat2 MOC

Created with Quartz v4.5.1 © 2026

  • GitHub
  • Discord Community